風場訊息的測量是氣象或空氣動力學領域的重要工作內容之一,其測量的精確性對於氣象研究尤為重要。
雷射測風雷達作為新型測風技術,利用多普勒(Doppler)原理獲取風向、風速訊息,具有能夠探測晴空風場、測風範圍廣、探測精度高、時空分辨率高、機動性能好的優點,其在風場精準探測領域具有重要應用前景。

Doppler 雷射雷達風速測量原理
雷射多普勒測風雷達是指利用多普勒效應獲取探測目標運動訊息的雷射雷達系統。多普勒效應由奧地利物理學家Doppler 於1842 年提出,指在波源與觀測者有相對運動時,觀測者接收到的波的頻率發生改變的現象。風速的測量可通過測量大氣中的大氣運動分子及氣溶膠運動粒子的後向散射信號Doppler 頻移來實現,即通過探測目標與雷射發射信號間的相互作用來獲得大氣或氣溶膠的後向散射特性,進而通過其後向散射的頻率檢測獲得大氣徑向風速的多普勒頻移,再計算獲得大氣的徑向風速。

溫度、濕度和氣壓對雷射測風雷達的影響
溫度
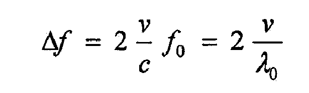
雷射雷達接收後向散射信號中,主要包含的是氣溶膠的散射信號和分子散射信號。大氣中的粒子無法自行發射雷射,要測量大氣粒子的運動速度,需要從雷射雷達發射機發射雷射與之相互作用,接收粒子“發射的雷射”(散射光)。此過程分為兩步,一是運動速度為v的大氣粒子接收頻率為f雷射;二是接收機接收運動速度為v的大氣粒子發射的頻率為的(1+v/c)f0雷射。
則Doppler頻移與粒子運動速度的關係為:

大氣中的氣溶膠粒子,如雲、灰塵等,隨著風或湍流運動,其速度約為~1 m/s或~10 m/s。
由於在大氣中,分子不停地在做無規則熱運動,分子的無規則熱運動的Maxwell分佈:

其中T為大氣溫度,在該分佈下的最大速度為:

由此可見,大氣溫度與Doppler頻移密切相關。帶入k=1.38×10-23J/K與m=4.82×10-26Kg,T=300K溫度下大氣分子振動的最大速度約為400m/s,這相當於1GHz的Doppler頻移。
濕度
有研究人員測試了後向散射係數隨濕度變化,發現隨著濕度的增大,後向散射係數也有著隨之增大的趨勢。在大風速以及大風區長度下,係數最大。在小風速情況下,氣溶膠的產生主要起源於破裂氣泡的薄膜碎片,由於濕度較大時導致粒子與水滴吸附,導致吸收變大,但是風速較小不能補充更多其他組分粒子,從而導致散射減小。

由此可見溫度和濕度都是直接影響雷射測風雷達測得結果的重要參數,其在測風雷達中準確監測的重要性不言而喻。除此以外,溫度,濕度,大氣壓都是氣象監測中的重要參數,在氣象研究中有重要作用,大氣壓也會影響大氣環境中的溫度和濕度,其三者之間息息相關。
如何準確監測溫度,濕度和氣壓?
既然在雷射測風雷達中準確監控溫度,濕度和氣壓具有重要意義,那麼,如何才能實現他們的準確監控呢? ——宏虹Comet 監測系統為您提供優秀的解決方案!
宏虹Comet T7310和Comet T7311是可用於室內室外的環境溫度計、濕度計和氣壓計。 T7310內置相對濕度、溫度和大氣壓力傳感器。 T7311外接傳感器。可搭載到雷射測風雷達中,體積小,穩定性好。測量值還可轉換為其他濕度表示形式:露點溫度、絕對濕度、比濕度、混合比、質量焓。兩者都是通過RS232輸出,實時監控環境中的溫度,濕度和氣壓。
宏虹Comet T7310

工業級溫度、濕度、氣壓變送器-RS232輸出。用於環境監測的天氣傳感器,目前市場上最好且應用最廣泛的氣壓計之一。
(1)溫度測量範圍:-30 to +80℃
(2)濕度測量範圍:0 to 100 % RH
(3)露點測量範圍:-60 to +80℃
(4)氣壓測量範圍:600 to 1100 hPa
(5)通訊協議:ModBus RTU 和研華ADAM 兼容協議
宏虹Comet T7311

工業級溫度、濕度、氣壓變送器-RS232輸出,外置探頭。
(1)溫度測量範圍:-30 to +105℃
(2)濕度測量範圍:0 to 100 % RH
(3)露點測量範圍:-60 to +80℃
(4)氣壓測量範圍:600 to 1100 hPa
(5)通訊協議:ModBus RTU 和研華ADAM 兼容協議
宏虹COMETEO
氣象傳感器的專業太陽輻射保護罩

專業的輻射防護罩,用於保護溫度傳感器或組合式溫濕度傳感器。被動、自然通風的輻射防護罩設計用於保護直徑為13 至18 毫米的氣象傳感器。
應用圖片



了解更多Comet產品資訊 >> https://hongtronics.com/comet/
